TITRE :PREPARATION CONCOURS niveau VI ; V ;
IV ; DEVOIR : ETUDE de FONCTIONS - APPLICATIONS
|
|
|
|
||||
|
|
Corrige du Devoir : TRAVAUX AUTO FORMATIFS. |
|||||
|
|
|
|
||||
|
|
CONTROLE |
|
||||
|
|
Voir dans le cours……………… |
|
||||
|
|
|
|
||||
|
|
EVALUATION : |
|
||||
|
|
|
|
||||
|
|
Voir le cours. |
|
||||
|
|
|
|
||||
|
|
Déterminer
l’ensemble de définition de : |
|
||||
|
|
|
|
||||
|
|
1°) f (x) = 2
x² + 4 x – 5 |
|
||||
|
|
|
|
||||
|
|
2°) f (x) = |
|
||||
|
|
|
|
||||
|
|
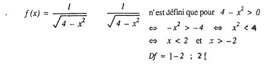
3°) f (x) = |
|
||||
|
|
|
|
||||
|
|
|
|
||||
|
|
Traduire
et Calculer les limites suivantes : |
|||||
|
|
|
|
||||
|
|
1°) lim
5 x² - 2x+4 |
|
||||
|
|
x |
|
||||
|
|
|
|
||||
|
|
2°) lim ( 3 x² - 2x – 1 ) |
|
||||
|
|
x |
|
||||
|
|
|
|
||||
|
|
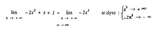
3°) lim ( 2 x 3 + x + 1 ) |
|
||||
|
|
x |
|
||||
|
|
|
|
||||
|
|
4°) lim |
|
||||
|
|
x |
|
||||
|
|
|
|
||||
|
|
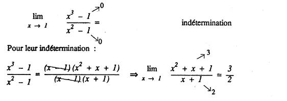
5°) lim. |
|
||||
|
|
x |
|
||||
|
|
|
|
||||
|
|
6°) lim. |
|
||||
|
|
|
|
||||
|
|
Calculer
les fonctions dérivées des fonctions suivantes : |
|||||
|
|
|
|
||||
|
|
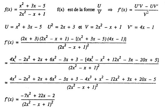
a) f (x) = |
|
||||
|
|
|
|||||
|
|
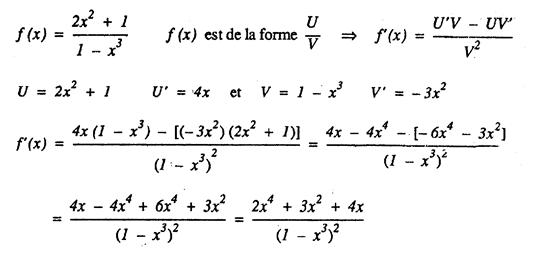
b) f (x) = |
|
||||
|
|
|
|||||
|
|
c) |
|
||||
|
|
|
|
||||
|
|
Faire l’étude
de la fonction : |
|||||
|
|
|
|
||||
|
|
|
|||||
|
|
|
|||||
|
|
5°) représentation graphique. (courbe représentative) |
|||||
|
|
|
|||||