la fonction logarithmique ((résumé)_corrigé

DOSSIER : LA FONCTION LOGARITHME

 

 

CORRIGE /

 

 

TRAVAUX AUTO FORMATIFS.

 

 

 

 

 

 

CONTRÖLE :

 

 

 

 

 

 

 

Traduire :  log x ou ln x

lire logarithme népérien de x

 

 

Quelle est la forme de la représentation graphique de log x

 

 

Compléter l’égalité :

 

 

 

                     Log a b    = 

Log a b    =  log a  + log b

 

 

              Log       = 

Log       =  log a  -  log b

 

 

Log       =

 

Log       =  log 1  -  log c  =  0 -  log c  =  -  log c

 

 

Log  a n   =  

Log  a n   =  n  log a Log  a n   =  n  log a

 

 

 

 

 

 

 

 

 

 

Exercices :    Résoudre .

 

 

 

 

 

1.       

Log x + log 6 =  2 log 4

 

                                           Log 6 x =  log 4 2 ;  6 x =  1 6 ; x =

 

2.       

 

 

 

3.       

2 log x + log 8 =  2 log x

 

 

 

 

 

 

4.       

2 log x + log 8 =  2 log 4

 

 

 

 

 

 

5.       

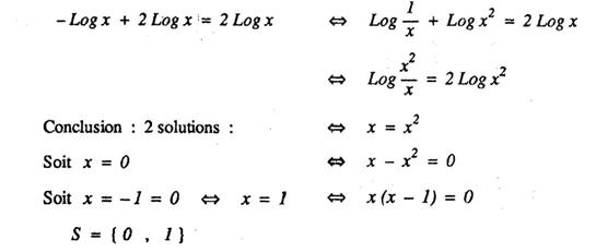
- log x + 2 log x =  2 log x

 

 

 

 

 

 

6.       

 log  2 x =  log  2 +  log 4

 

 

 

 

 

 

7.       

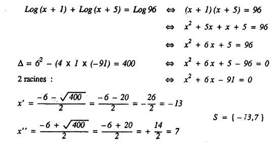
 log ( x + 1 )  + log ( x + 5 )  =   log  96

 

 

      

 

 

 

 

 

 

 

8.       

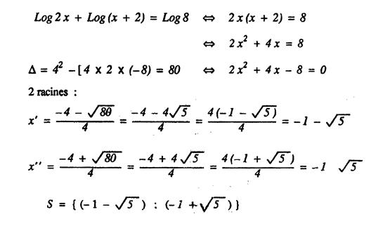
Log  2 x + log x  + 2  =   log  8

 

  

 

 

 

 

 

 

 

 

 

 

 

html>