TITRE :PREPARATION CONCOURS niveau
IV : CORRIGE . PRIMITIVE ET INTEGRALE
|
|
|
|
|
||
|
|
TRAVAUX AUTO FORMATIFS. |
||||
|
|
|
|
|||
|
|
CONTRÔLE |
|
|||
|
|
Voir le cours !!!!! |
|
|||
|
|
|
|
|||
|
|
EVALUATION : |
|
|||
|
|
|
|
|||
|
|
Exercices : Calculer les primitives . |
|
|||
|
|
|
|
|||
|
|
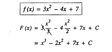
1°) f (x) = 3 x² - 4x + 7 |
|
|||
|
|
|
|
|||
|
|
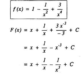
2°) f (x) = 1 - |
|
|||
|
|
|
|
|||
|
|
3°) f (x) = 4 ( x -1) 4 |
|
|||
|
|
|
|
|||
|
|
4°) f (x) = |
|
|||
|
|
|
|
|||
|
|
5°) f (x) = x3 ( x4 + 1 ) ² |
|
|||
|
|
|
|
|||
|
|
6°) f (x) = (3 x² +1 ) ( x 3
+ x ) |
|
|||
|
|
|
|
|||
|
|
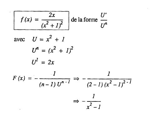
7°) f (x) = |
|
|||
|
|
|
|
|||
|
|
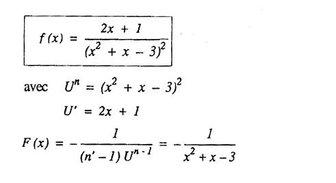
8°) f (x) = |
Est de la forme : |
|||
|
|
|
|
|||
|
|
|
|
|||
|
|
|
|
|||
|
|
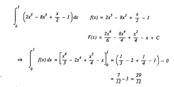
Exercices : Calculer
les intégrales :. |
|
|||
|
|
|
|
|||
|
|
|
|
|||
|
|
|
|
|||
|
|
|
|
|||
|
|
|
|
|||
|
|
|
|
|||
|
|
|
|
|||
|
|
|
|
|||
|
|
|
|
|||