|
|
|||||||||||||||||
|
|
|
||||||||||||||||
|
TRAVAUX CONTROLE |
|||||||||||||||||
|
|
|
|
|||||||||||||||
|
|
Les questions relatives à
« ce qu’il faut retenir » , au
« savoir » se reporter aux cours . |
|
|||||||||||||||
|
|
|||||||||||||||||
|
1 |
Construire la table de l’addition |
|
|||||||||||||||
|
2 |
Compter de 2 en 2 |
|
|||||||||||||||
|
De 1 à 41 |
|
Puis de 2 à 42 |
|||||||||||||||
|
3 |
Compter de 3 en 3 |
|
|||||||||||||||
|
|
De 1 à 31 |
De 2 à 32 |
puis de 3 à 33 |
|
|||||||||||||
|
4 |
Compter de 4 en 4 |
|
|||||||||||||||
|
|
De 1 à 41 |
De 2 à 42 |
De 3 à 43 |
De 4 à 44 |
|
||||||||||||
|
5 |
Compter de 5 en 5 |
|
|||||||||||||||
|
|
De 1 à 51 |
De 2 à 52 |
De 3 à 53 |
De 4 à 54 |
De 5 à 55 |
|
|||||||||||
|
6 |
Compter de 6 en 6 |
|
|||||||||||||||
|
|
De 1 à 61 |
De 2 à 62 |
De 3 à 63 |
|
|||||||||||||
|
De 4 à 64 |
De 5 à 65 |
De 6 à 66 |
|||||||||||||||
|
7 |
Compter de 7 en 7 |
|
|||||||||||||||
|
|
De 1 à 71 |
De 2 à 72 |
De 3 à 73 |
|
|||||||||||||
|
De 4 à 74 |
De 5 à 75 |
De 6 à 76 |
|||||||||||||||
|
De 7 à 77 |
|
|
|||||||||||||||
|
8 |
Compter de 8 en 8 |
|
|||||||||||||||
|
|
De 1 à 81 |
De 2 à 82 |
De 3 à 83 |
De 4 à 84 |
|
||||||||||||
|
De 5 à 85 |
De 6 à 86 |
De 7 à 87 |
De 8 à 88 |
||||||||||||||
|
9 |
Compter de 9 en 9 |
|
|||||||||||||||
|
|
De 1 à 91 |
De 2 à 92 |
De 3 à 93 |
De 4 à 94 |
De 5 à 95 |
|
|||||||||||
|
De 6 à 96 |
De 7 à 97 |
De 8 à 98 |
De 9 à 99 |
|
|||||||||||||
|
|
|
|
|||||||||||||||
|
10 |
Par écrit puis oralement |
|
|||||||||||||||
|
|
a) Ajouter vite les 9 premiers nombres à 10 ( exemple : 10 et 1 → 11 et 2 → 13 et 3 →
16 et 4 →20 ;……..) |
|
|||||||||||||||
|
|
Faire la même chose en partant de : |
|
|||||||||||||||
|
|
b) de 15 : |
|
|||||||||||||||
|
|
c) de 18 : |
|
|||||||||||||||
|
|
d) de 24 : |
|
|||||||||||||||
|
|
e) de 27 : |
|
|||||||||||||||
|
|
|
|
|||||||||||||||
|
11 |
Trouver toutes les sommes de 2
nombres qui donnent les résultats
suivants : |
|
|||||||||||||||
|
|
a) 9 ( exemple 1 + 8 ; 2 + 7 ; 3 +
6 ; 4 + 5 ; et 5 + 4 ;
6 + 3 ; 7 + 2 …..) |
|
|||||||||||||||
|
|
b) 12 |
|
|||||||||||||||
|
|
c ) 16 |
|
|||||||||||||||
|
|
d) 18 |
|
|||||||||||||||
|
|
e) 20 |
|
|||||||||||||||
|
|
|
|
|||||||||||||||
|
12 |
Compter vite , des yeux , et
n’écrire que le résultat : |
|
|||||||||||||||
|
|
a) 5 + 3 + 4 +
6 + 2 + 7 + 4 + 8 + 5 + 6 |
|
|||||||||||||||
|
|
b) 8 + 5 + 3 + 7 + 6 + 4
+ 9 + 7 + 2 + 4 |
|
|||||||||||||||
|
|
c) 7 + 9 + 3 + 6 + 5 + 8 + 6
+ 5 + 4 + 7 |
|
|||||||||||||||
|
|
|
|
|||||||||||||||
|
13 |
Refaites les comptes ci dessus de droite à gauche ; trouve t - on
les mêmes résultats ?
pourquoi ? |
|
|||||||||||||||
|
|
INFO : méthode |
|
|||||||||||||||
|
|
Servez vous de la dizaine :
8 + 6 =10 + 4
= 14
|
|
|||||||||||||||
|
14 |
Compter ainsi , en passant par la dizaine. |
|
|||||||||||||||
|
|
9 + 5 = |
8 + 4 = |
6 + 9 = |
7 + 4 = |
9 + 8 = |
7 + 5 = |
|
||||||||||
|
8 + 5 = |
9 + 7 = |
6 + 5 = |
9 + 3 = |
6 + 7 |
6 + 8 = |
||||||||||||
|
15 |
INFO méthode : Utiliser les
doubles : exemple 8 + 9 ,
c’est 8 + 8 + 1 ; soit 2
fois 8 , plus 1 = 16 + 1 + 17 |
|
|||||||||||||||
|
|
Compter ainsi : |
|
|||||||||||||||
|
|
Série 1 : par addition |
|
|||||||||||||||
|
|
5 + 6 = |
7 + 8 = |
6 + 7 = |
5 + 7 = |
|
||||||||||||
|
6 + 8 = |
7 + 9 = |
6 + 9 = |
5 + 8 = |
||||||||||||||
|
|
Série 2 : par soustraction. |
|
|||||||||||||||
|
|
9 + 8 = |
8 + 7 = |
7 + 6 = |
6 + 5 = |
|
||||||||||||
|
9 + 7 = |
7 + 5 = |
8 + 6 = |
8 + 5 = |
||||||||||||||
|
16 |
Info méthode : partez de ce que vous savez bien : je sais bien que 8
+ 6 = 14 ; donc 8 + 7 = 8 + 6 + 1 soit 14 + 1 ou 15. Vous connaissez bien des totaux alors : compter ainsi à partir
des totaux que vous connaissez bien !! |
|
|||||||||||||||
|
|
8 et 5 ; = |
9 et 7 ; = |
7 et 4 ; = |
9 et 4 ; = |
|
||||||||||||
|
8 et 7 ; = |
9 et 5 ; = |
8 et 3 ; = |
7 et 9 ; = |
||||||||||||||
|
17 |
Copier et compléter , colonne par colonne : |
|
|||||||||||||||
|
|
15 = 10 + 5 |
13 = 10 + 3 |
16 = 6 + 10 |
14 = 4 + 10 |
|
||||||||||||
|
15 = 9 + ……. |
13 = 9 + …….. |
16 = … + 9 |
14 = 5 + …….. |
||||||||||||||
|
15 = 8 + …… |
13 = 8 + …….. |
16 = ….+ 8 |
14 = 6 + …….. |
||||||||||||||
|
15 = 7 + …….. |
13 = 7 +
……. |
16 = …..+ 7 |
14 = 7 +
……. |
||||||||||||||
|
18 |
Copier et compléter par comparaison , colonne par colonne. |
|
|||||||||||||||
|
|
……= …+ 5 |
……= …+ 4 |
……= 4 + …. |
……= 8 + …. |
|
||||||||||||
|
14 = 8 +
6 |
11 = 8 +
3 |
12 = 5 +
7 |
13 = 7 +
6 |
||||||||||||||
|
…..= … + 7 |
…..= … + 2 |
…..= 6 + … |
…..= 6 + … |
||||||||||||||
|
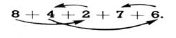
19 |
INFO on peut compter en ligne : 8 + 4 + 2 + 7 + 6 , ou
compter comme indique les flèches , en
recherchant les dizaines :
|
|
|||||||||||||||
|
|
Compter les totaux : |
|
|||||||||||||||
|
|
|
I) En ligne |
II) en recherchant les dizaines |
|
|||||||||||||
|
a) 7 + 8 + 2 + 3 + 6 |
|
|
|||||||||||||||
|
b) 5 + 9 + 1 + 7 + 5 |
|
|
|||||||||||||||
|
c) 6 +7 + 4 + 9 + 3 |
|
|
|||||||||||||||
|
d) 4 + 9 + 6 + 6 + 4 |
|
|
|||||||||||||||
|
|
|
|
|||||||||||||||
|
20 |
Voici les notes de devoirs de Caroline : 6 ;8 ;
7 ; 5 ; 9 ; 8 ; 4 ; de Claire : 5 ;
69 ; 8 ; 7 ; 7 ; 3 ; 7 , de Lucile : 8 ; 7 ;
6 ; 5 ; 6 ; 9 ; 8 |
|
|||||||||||||||
|
|
Quel est le total de chacun ?
Classer ces élèves. |
|
|||||||||||||||
|
21 |
Reproduire ces dessins en totalisant les points de chaque rangée ,
puis de chaque colonne . Combien y a - t - il de points en tout ? |
|
|||||||||||||||
|
|
|||||||||||||||||